Politics & Government
Grants Announced For Municipal, Township, County Projects In Illinois
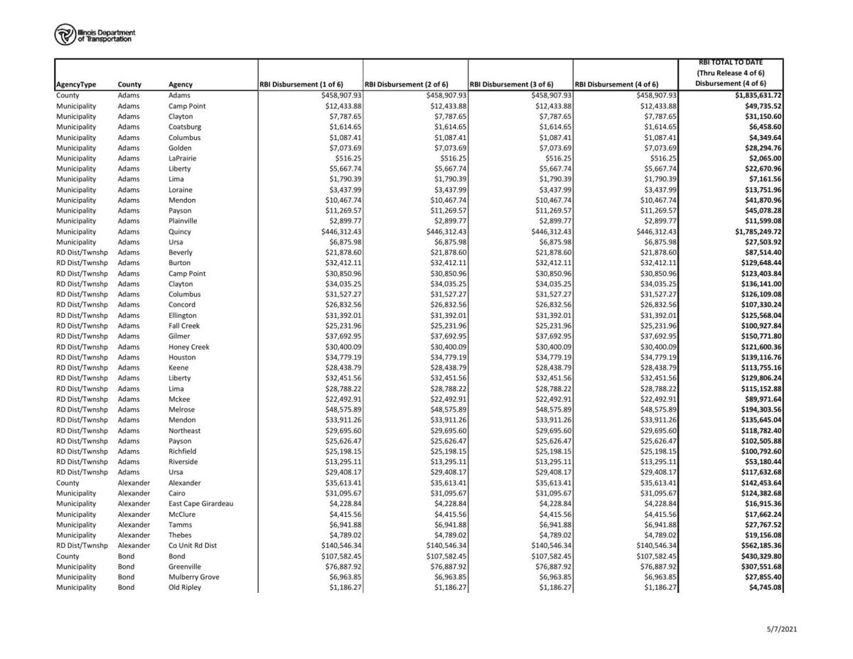
The fourth round of $250 million in Rebuild Illinois grants will go to construction projects across the state.
Expect summer construction season to ramp up as communities around the state dip into grant money for construction projects.
The fourth round of $250 million in Rebuild Illinois grants will go to municipal, township and county projects around the state.
Find out what's happening in Chicagofor free with the latest updates from Patch.
Projects include road and bridge improvements, new storm sewers and bike paths, and other long-term maintenance needs with financial oversight from the Illinois Department of Transportation.
Gov. J.B. Pritzker, while speaking in Champaign on Tuesday, said other Midwestern states are struggling to modernize and Illinois is passing them by.
Find out what's happening in Chicagofor free with the latest updates from Patch.
“Already, our Rebuild Illinois plan has improved over 3,000 miles of highways, completed over 180 bridges, and launched hundreds more projects,” Pritzker said.
Passed in 2019, Rebuild Illinois will put $33.2 billion into the state’s transportation system. The capital program is the largest in state history, and the first that involves all modes of transportation: Roads, bridges, transit, waterways, freight and passenger rail, airports, and bicycle and pedestrian accommodations. The Rebuild Illinois program is funded, in part, by higher taxes on gasoline. State lawmakers voted to double the gas tax to 38 cents per gallon, up from 19 cents per gallon.
“Following every major infrastructure investment, we saw a surge,” state Sen. Scott Bennett, D-Champaign, said. “This country took huge leaps forward toward getting crops to market, getting the next industry and getting more people across the country involved.”
The funding is in addition to the regular contributions through the state’s motor fuel tax formula, which accounts for $706.5 million to local governments this fiscal year.
As part of its current 2021-26 Proposed Highway Improvement Program, IDOT is investing a total of $21.3 billion to improve roads and bridges. Of that, $4.7 billion is identified for the local transportation system.

The focus of the work of The Center Square Illinois is state- and local-level government and economic reporting that approaches stories with a taxpayer sensibility. For more stories from The Center Square, visit TheCenterSquare.com.